|
Sonsuz Toplamlar
|
|||||||||||||||
|
süreklilik ve sonsuzla ilgili olan 4'ü (2 tanesini henüz açıkladık), matematik açısından oldukça önemli çünkü bunlar 17. yüzyılda Newton ve Leibniz'in birbirlerinden bağımsız olarak keşfettikleri sonsuz küçükler hesabının tarihsel gelişimindeki ilk basamak.
Bir Hata Olmalı
Anlattıkları korkunç derecede ikna edici olan Zenon'un bir yerlerde hata yaptığına inanmak için oldukça geçerli sebeplerimiz var. Her fleyden önce biliyoruz ki hareket etmek imkansız değil (tabii ortada bir sağlık problemi olmadığı sürece). Bir yerlerde bir hata olduğu açık! Ya biz yanlış biliyoruz ya da Zenon, bir yerlerde yanlış olduğunu hiç kimsenin fark edemediği bir bilgiyi doğru kabul ediyor.
Sonsuz Toplam
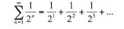
Kapıya ulaşamama hikayesine dönelim. Alabileceğimiz yolu bulabilmek için flu sonsuz toplamı hesaplamak gerekir.
|
|||||||||||||||
![]() |
|||||||||||||||
|
Varsayalım ki bugün sizin için uzun ve yorucu bir gündü, neyse ki bitti. Bir parça dinlenebilmek için koltuğunuza şöyle bir oturdunuz. Ne kadar yorulmuş olduğunuzu ancak o zaman gerçekten anlayabildiniz. Hem dinlenip hem de keyifli vakit geçirebilmek için elinize derginizi alıp okumaya koyuldunuz. İşte tam bu sırada kapı çaldı. Bulunduğunuz noktaya yaklaşık 10 metre uzaklıkta bulunan kapıya gidip onu açmak o an için yeryüzündeki en zor iş olsa gerek.
Genelde pratik düşünmekten yana olan beyniniz bu sefer tam aksine, içinizdeki üflenme dürtüsünün baskısıyla olsa gerek, ortaya teorik düşünceler atmaya başladı:
"Varsayalım ki kapıyı açmak üzere yerimden kalktım ve ilk hamlemi yaparak 10 metrelik yolun yarısını gittim. Daha sonra geriye kalan 5 metrelik yolun da yarısını gittim ve geriye 2,5 metrelik yolum kaldı. Bu yolun da yarısını gitmeyi başarsam bile geriye her zaman bir miktar yolum kalacak ve kalan yolu asla sıfırlayamayacağım. Sonuç olarak kapıya ulaşmam mümkün değil, yerimden kalkmama gerek yok!"
Tam noktayı koymuştunuz ki açlık hissiniz, üflenme dürtünüzü bastırmaya başladı. Kapıya gelenin size yemek getiren iyi bir arkadaşınız olabileceği düşüncesine kapıldınız. Ama beyniniz az önce kendi kendini kandırmak için oynadığı oyuna o kadar
|
inandı ki geri adım atmanın yolunu bulmak kolay olmadı:
"Varsayalım ki yanlış hesaplama sonucu aslında 10m olan kapı ile aramdaki mesafenin 20m olduğunu düşündüm. O zaman ilk hamlede yolun yarısını yani 10m yolu gider kapıya tek hamlede varırım!"
İşte şimdi kapıya varacağınıza ikna oldunuz ve gerçekten de oturduğunuz yerden kalkıp kapıya gittiniz. Açıp baktınız ki kimsecikler yok. Siz düşünürken kapıdaki misafir gitmiş olmalı! Bu durumun suçlusu matematik mi dersiniz?
Zenon'un Meflhur Paradoksu
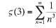
Zenon'a göre teorikte, az önce anlatılan örnekte olduğu gibi, koltuktan kapıya gitmek imkansızdır. Hatta hareket etmek imkansızdır çünkü kapıya gidecek kişi önce ilk 5 metreyi gitmeli ve bu 5 metreyi gidebilmek için önce onun yarısı olan 2,5 metreyi gitmeli ve beklendiği üzere bu 2,5 metrelik yolu da gidebilmesi için önce onun yarısını gitmeli. Kısacası, bırakın yolu tamamlamayı, bulunduğu yerden bir arpa boyu ileri gitmesi bile imkansızdır ve bu nedenle hareket imkansızdır. M.Ö. 450'lerde yaşamış olan Zenon'un, 40 tane paradokstan bahsettiği kitabı günümüze kadar ulaşmış olmasa bile pek çok farklı kaynak sayesinde onun hakkında bilgi edinebiliyoruz. Bu 40 paradokstan
|
||||||||||||||
![]() |
|||||||||||||||
|
bir uzunluk verir.
Teoride bu hesap yapılamaz ama pratikte sonuç 10'dur yani teori ile pratik arasında bir uçurum mevcuttur, bu da paradoksun çıkış noktasıdır. Oysa ki bu sonsuz tane sayıyı topladığımızda gerçekten de '10' gibi sonlu, elle tutulur gerçel bir sayı elde ediyoruz. Ama Zenon, sonsuz tane pozitif sayıyı toplayınca sayının sürekli büyüyeceğini ve bir gerçel sayının elde edilmesinin mümkün olmayacağını düşündüğünden bu kabulün yanlışlığından hiç şüphelenmemiş. Kabul etmek gerekir ki, Ze-non'un tezinin çeldiricilik düzeyi oldukça yüksek.
|
|||||||||||||||
|
BİLİM ve TEKNİK
|
|||||||||||||||
![]() |
||||||||||||||||||||||||||||||||||
![]() |
||||||||||||||||||||||||||||||||||
|
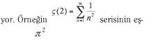
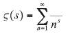
Riemann-Zeta Fonksiyonu
Bir serinin yakınsak olduğu belir-lense bile toplamın kaç olduğunun bulunması uzun zaman alabiliyor. Bu uğurda verebileceğimiz en ünlü örnek:
1
|
||||||||||||||||||||||||||||||||||
![]() |
||||||||||||||||||||||||||||||||||
|
Bizim genelde bildiğimiz fonksiyonlar eklinde yani fonksiyonun ‘ siyle ifade edilir. Bu fonksiyonsa adını, ifade edildiği zeta (S) harfinden ve 1859 yılında bu fonksiyonla ilgili çok önemli bir hipotezi, Riemann Hipotezini, ortaya atan sahibi Bernhard Rie-mann'dan almış. Zaman içinde s'nin hangi sayı değerleri için fonksiyonun yakınsak ya da ıraksak olduğu bulunmuş. Söz gelimi s=1 için seri ıraksak ve s'in 1'den büyük tüm değerleri için seri yakınsak. Ama yakınsak olduğunun bulunmuş olması bu fonksiyonun mevcut sorunlarını çözmeye yetmiyor, herbir s değeri için bu sonsuz toplamın bir de cevabını hesaplamak gereki-
|
||||||||||||||||||||||||||||||||||
|
Sürekli büyüdüğü size açık gelme-diyse, bir de flu yolu deneyin: Serinin kısmi toplamının, yani 1'den k'ya kadar olan toplamının, k sonsuza giderken limitine bakın. Bu toplam formülünü geçen yazımızdan hatırlayacaksınız:
|
||||||||||||||||||||||||||||||||||
|
Sonsuz Diziler ve Sonsuz Toplamlar
Sonsuz bir dizi doğal sayılardan gerçel sayılara tanımlanmış bir fonksiyondur. Örneğin;
|
||||||||||||||||||||||||||||||||||
![]() |
||||||||||||||||||||||||||||||||||
![]() |
||||||||||||||||||||||||||||||||||
|
Şimdi sonucun sonsuza ıraksadığı daha net, yani seri ıraksak.
Yazımızın başından beri bahsettiği-
1
|
||||||||||||||||||||||||||||||||||
![]() |
||||||||||||||||||||||||||||||||||
|
şeklinde ifade edilir ve virgülle ayrılmış her gerçel sayıya dizinin bir terimi denir. Sonsuz toplam da böyle bir sonsuz dizinin terimlerinin birbiriyle toplanmasıyla elde edilen sonuçtur:
|
||||||||||||||||||||||||||||||||||
![]() |
||||||||||||||||||||||||||||||||||
|
tiliğinin 6 olduğu Leonhard Euler tarafından bulunmuş. Hatta s'nin tüm çift değerleri için toplamı hesaplama yöntemi biliniyor ama tek değerlerin durumu pek içaçıcı değil. Euler'den bu yana kaydedilen tek ilerleme
|
||||||||||||||||||||||||||||||||||
![]() |
||||||||||||||||||||||||||||||||||
|
Matematiğin özellikle 17. yüzyıldan sonra derin bir Şekilde yoğunlaştığı ve cevaplar bulabildiği bu tür hesapların 2200 yıl önce yaşayanlar tarafından anlaşılmamasına şaşırmamak gerekir, çünkü o zamanlar henüz limit kavramının bulunmasına yüzyıllar vardı.
Sonsuz Tane Sayı Nasıl Toplanır
Sonsuz tane sayıyı toplamak çok zor değil ama toplamaya geçmeden önce yapılması gereken önemli bir işlem var: serinin yakınsak mı yoksa ıraksak mı olduğuna karar vermek, ya da diğer bir değişle sonucun bir gerçel sayı olup olmadığını belirlemek.
Örneğin flu serinin sonsuza ıraksadığı gayet açık:
|
||||||||||||||||||||||||||||||||||
![]() |
||||||||||||||||||||||||||||||||||
|
Bu ifadenin limiti de 1’e gider. Yani 1 metrelik yolun önce yarısını, sonra kalanın yarısını ... giderseniz gerçekten de 1 metrelik yolu tamamlarsınız çünkü bu sonsuz toplam 1’e eşittir. Bu sayede teoriyle pratik arasında yüzyıllardır süregelen uçurumu nihayet ortadan kalkmış olur.
Kısmi toplam bulmak her zaman bu kadar kolay değildir işte bu nedenle karşımıza çıkan her seri için ıraksaktır, yakınsaktır ya da yakınsaksa toplamı şudur demek kolay değil. Yakınsaklığı anlamak için pek çok test geliştirilmiş. Bu testleri kullanarak bir serinin yakınsak olduğu kolayca belirlenebiliyor. Hiçbir teste uymayan seriler de var. Hala yakınsak mı ıraksak mı olduğu belirlenemeyen flu seri gibi:
|
||||||||||||||||||||||||||||||||||
|
serisinin irrasyonel bir
|
||||||||||||||||||||||||||||||||||
|
sonuç verdiği (Roger Apery,1977). Bunun dışında şimdiye kadar elde edilmiş baflka bir gelişme yok. Sadece hesap makinası ile elde edilmiş sonuçlar ve o sonuçalara bağlı yürütülen tahminler. Belki de matematik bu soruları cevaplamak için hala ortaya çıkmamış yeni kuramları ya da % ve e gibi yeni irrasyonel sayıları bulmayı beklemektedir ve insanlığın bu sonuçlara ulaşması için birkaç yüzyıl daha uğraşması gerekmektedir.
Nilüfer Karadağ
Kaynakça:
http://plus.maths.org/issue19/features/infseries/checker.jpg Eric W. Weisstein. "Harmonic Series." From MathWorld-A Wolfram Web Resource. http://mathworld.wolfram.com/HarmonicSeries.html
|
||||||||||||||||||||||||||||||||||
![]() |
||||||||||||||||||||||||||||||||||
|
Ocak 2006 63 BİLİM ve TEKNİK
|
||||||||||||||||||||||||||||||||||