Kinetik enerji KE = mc2m0c2 olarak ifade edilir. G�relilik form�llerinde, ifadenin alt�nda 0 olursa de�er klasik de�erli, normal yaz�l�rsa g�reli de�erlidir. Mesela m0 sabit k�tle, m ise g�reli k�tledir.

Bu KE ifadesi KE=mc^2-\frac{m_0}{\sqrt{1-\frac{v^2}{c^2}}}c^2=mc^2-\frac{m_0c}{\sqrt{c^2-v^2}}ile e�de�erdir.

E�itli�e momentum (momentum=p, g�reli momentum \frac{m_0v}{\sqrt{1-\frac{v^2}{c^2}}}olmak �zere) da eklenirse;

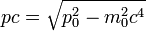
E^2=m_0^2c^4+p^2c^2olur. O da E=\sqrt{m_0^2c^4+p^2c^2}'ye e�ittir. E=mc2 e�itli�i, p=0 oldu�unda ge�erlidir.

Enerjiye fotonlardan bahsedilirken �ok�a kullan�lan pc ifadesinden bak�nca ilgin� bir sonuca ula��l�r. Fakat ilgin� olan, bulduktan hemen sonra zaten ���k h�z� (c) sabit oldu�undan E=mc2'nin buna i�aret etti�inin anla��lmas�d�r. Bu ifadeye �u �ekilde ula��labilir.

E=\sqrt{m_0^2c^4+p^2c^2}e�itli�i i�in pc pc=\sqrt{p_0^2-m_0^2c^4}'e e�ittir. E�itli�in karesini al�nca,

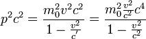
p^2c^2=\frac{m_0^2v^2c^2}{1-\frac{v^2}{c^'}}=\frac{m_0^2\frac{v^2}{c^2}c^4}{1-\frac{v^2}{c^2}}'ye ula��l�r.

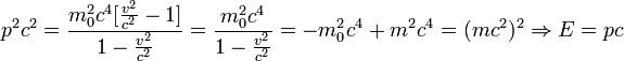
K�sa bir hesaptan sonra, sonuca ula��l�r:

p^2c^2=\frac{m_0^2c^4[\frac{v^2}{c^2}-1]}{1-\frac{v^2}{c^2}}=\frac{m_0^2c^4}{1-\frac{v^2}{c^2}}=-m_0^2c^4+m^2c^4=(mc^2)^2 \Rightarrow E=pc

Fotonlar i�in E=pc ge�erlidir.